Danh mục sản phẩm
Giỏ hàng
Tin tức
CXV/FR – 0,61 kV
CXV/FR – 0,6/1 kV
- Model: CXV/FR
- Cấp điện áp: 0,6/1 kV
- Ruột dẫn: Đồng mềm
- Tiết diện danh nghĩa: 1,5 ÷ 630mm2
- Cách điện: XLPE
- Lớp chống cháy: Băng mica chịu nhiệt
- Cấp chịu nhiệt: 90°C hay 110°C (bình thường)
- Nhiệt độ ngắn mạch: ~250°C (tối đa 5 giây)
- Tiêu chuẩn: TCVN 5935-1 / IEC 60502-1; TCVN 6612 / IEC 60228; IEC 60331-21; IEC 60332-1,3; BS 6387; BS 4066-1,3.
CXV/FR – 0,6/1 kV
CÁP CHỐNG CHÁY, RUỘT ĐỒNG, BĂNG MICA, CÁCH ĐIỆN XLPE, VỎ FR–PVC
Cáp chống cháy CXV/FR dùng cho hệ thống phân phối điện được thiết kế để duy trì nguồn điện cho các thiết bị, hạn chế sự lan truyền của ngọn lửa khi bị ảnh hưởng bởi hỏa hoạn, sử dụng phù hợp trong các công trình... cấp điện áp 0,6/1 kV, lắp đặt cố định.
Cáp chống cháy sử dụng phù hợp trong các công trình công cộng, hệ thống điện dự phòng, hệ thống khẩn cấp, hệ thống báo cháy, hệ thống phun nước chữa cháy, hệ thống báo khói và hút khói, hệ thống đèn thoát hiểm...
Cấu trúc CXV/FR – 0,6/1 kV
- Ruột dẫn (Conductor): Đồng (Cu)
- Lớp chống cháy (Fire resistant layer): Băng mica quấn quanh ruột dẫn
- Cách điện (Insulation): XLPE
- Lớp độn (Filler): PP (Polypropylene) hoặc băng quấn PET/PVC
- Vỏ bọc bên ngoài (Oversheath): Nhựa FR-PVC (chống cháy lan)

Tiêu chuẩn áp dụng
TCVN 5935-1 / IEC 60502-1.
TCVN 6612 / IEC 60228.
IEC 60331-21; IEC 60332-1,3.
BS 6387; BS 4066-1,3.
AS/NZS 3013
Nhận biết lõi
Bằng băng màu:
+ Cáp 1 lõi: Màu tự nhiên, không băng màu.
+ Cáp nhiều lõi: Băng màu đỏ - vàng - xanh dương -
không băng màu.
Hoặc theo yêu cầu khách hàng.
Đặc tính kỹ thuật
- Cấp điện áp U0/U: 0,6/1 kV.
- Điện áp thử: 3,5 kV/5 phút.
- Nhiệt độ làm việc dài hạn cho phép của ruột dẫn là 90°C hay 110°C.
- Nhiệt độ cực đại cho phép của ruột dẫn khi ngắn mạch trong thời gian không quá 5 giây là 250°C.
+ Cáp chịu cháy ở 950°C trong 3 giờ; đáp ứng tiêu chuẩn BS 6387 Cat. C, W, Z.
+ Cáp chịu cháy ở 1.050°C trong 2 giờ; đáp ứng tiêu chuẩn AS/NZS 3013 WS5xW.
- Cáp chống cháy có đặc điểm truyền lửa chậm nên khó bắt cháy.
- Bó cáp có khả năng tự tắt sau khi loại bỏ nguồn lửa.
CÁP CXV/FR - 1 ĐẾN 4 LÕI

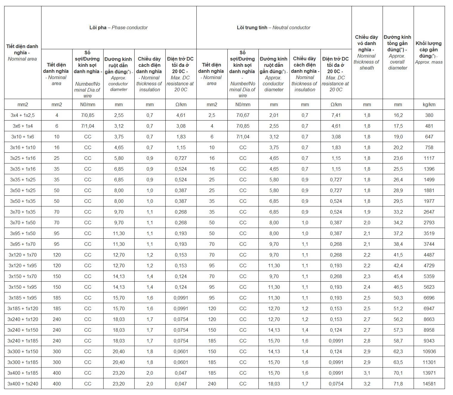
CÁP CXV/FR - 3 PHA + 1 TRUNG TÍNH

CC: Ruột dẫn tròn xoắn ép chặt.
(*): Giá trị tham khảo - Đây là giá trị ước tính đường kính, ước tính khối lượng sản phẩm nhằm phục vụ cho công tác thiết kế, vận chuyển, lưu kho sản phẩm. Không phải là chỉ tiêu đánh giá chất lượng sản phẩm.






