Danh mục sản phẩm
Giỏ hàng
Tin tức
CXE/DATA − 0,6/1 kV & CXE/DSTA − 0,6/1 kV
CXE/DATA − 0,6/1 kV & CXE/DSTA − 0,6/1 kV
- Model: CXE/DATA & CXE/DSTA
- Tiêu chuẩn áp dụng: TCVN 5935-1
- Cấp điện áp (Uo/U): 0,6/1 kV
- Cấu tạo: ruột đồng, cách điện XLPE, giáp băng nhôm/thép bảo vệ, vỏ bọc HDPE
- Số lõi dẫn điện: 1, 2, 3, 4
- Thương hiệu: CADIVI
- Xuất xứ: Việt Nam
CXE/DATA − 0,6/1 kV & CXE/DSTA − 0,6/1 kV
CÁP ĐIỆN LỰC, RUỘT ĐỒNG, CÁCH ĐIỆN XLPE, GIÁP BĂNG KIM LOẠI, VỎ HDPE
Cáp điện hạ thế CXE/DATA, CXE/DSTA được sử dụng cho hệ thống truyền tải và phân phối điện ngầm, cấp điện áp 0,6/1 kV, lắp đặt cố định trong các công trình dân dụng, công nghiệp và hạ tầng điện lực.
Cấu trúc cáp điện hạ thế CXE/DATA, CXE/DSTA
- Ruột dẫn: Làm bằng đồng (Cu) có khả năng dẫn điện tốt, đảm bảo truyền tải điện ổn định và hiệu quả.
- Lớp cách điện: Sử dụng vật liệu XLPE (Cross-linked Polyethylene) có khả năng chịu nhiệt cao, cách điện tốt và tăng độ bền cho cáp.
- Lớp độn: Làm bằng PP hoặc PVC, có tác dụng lấp đầy khoảng trống giữa các lõi, giúp cáp giữ được hình dạng tròn và tăng độ bền cơ học.
- Lớp bọc bên trong: Được quấn băng PET hoặc ép đùn PVC, giúp cố định cấu trúc lõi cáp và bảo vệ các lớp bên trong.
- Lớp giáp bảo vệ:
+ CXE/DATA: Sử dụng 2 lớp băng nhôm để bảo vệ cáp 1 lõi.
+ CXE/DSTA: Sử dụng 2 lớp băng thép dùng cho cáp 2 đến 4 lõi giúp tăng khả năng chịu lực và chống va đập cơ học.
- Vỏ bọc bên ngoài: Làm bằng HDPE (High Density Polyethylene) giúp cáp có khả năng chống ẩm, chống ăn mòn và chịu tác động môi trường tốt, rất phù hợp khi lắp đặt ngầm.

Tiêu chuẩn áp dụng
TCVN 5935-1/ IEC 60502-1
TCVN 6612/ IEC 60228
Nhận biết lõi
Bằng băng màu:
+ Cáp 1 lõi: Màu tự nhiên, không băng màu.
+ Cáp nhiều lõi: Băng màu đỏ – vàng – xanh – không băng màu.
Hoặc theo yêu cầu khách hàng.
Đặc tính kỹ thuật
- Cấp điện áp U0/U: 0,6/1 kV.
- Điện áp thử: 3,5 kV (5 phút).
- Nhiệt độ làm việc dài hạn cho phép của ruột dẫn là 90°C.
- Nhiệt độ cực đại cho phép của ruột dẫn khi ngắn mạch trong thời gian không quá 5 giây là 250°C.
CÁP CXE/DATA - 1 LÕI

CC: Ruột dẫn tròn xoắn ép chặt.
(*): Giá trị tham khảo - Đây là giá trị ước tính đường kính, ước tính khối lượng sản phẩm nhằm phục vụ cho công tác thiết kế, vận chuyển, lưu kho sản phẩm. Không phải là chỉ tiêu đánh giá chất lượng sản phẩm.
CÁP CXE/DSTA - 2 ĐẾN 4 LÕI

CC: Ruột dẫn tròn xoắn ép chặt.
(*): Giá trị tham khảo - Đây là giá trị ước tính đường kính, ước tính khối lượng sản phẩm nhằm phục vụ cho công tác thiết kế, vận chuyển, lưu kho sản phẩm. Không phải là chỉ tiêu đánh giá chất lượng sản phẩm.
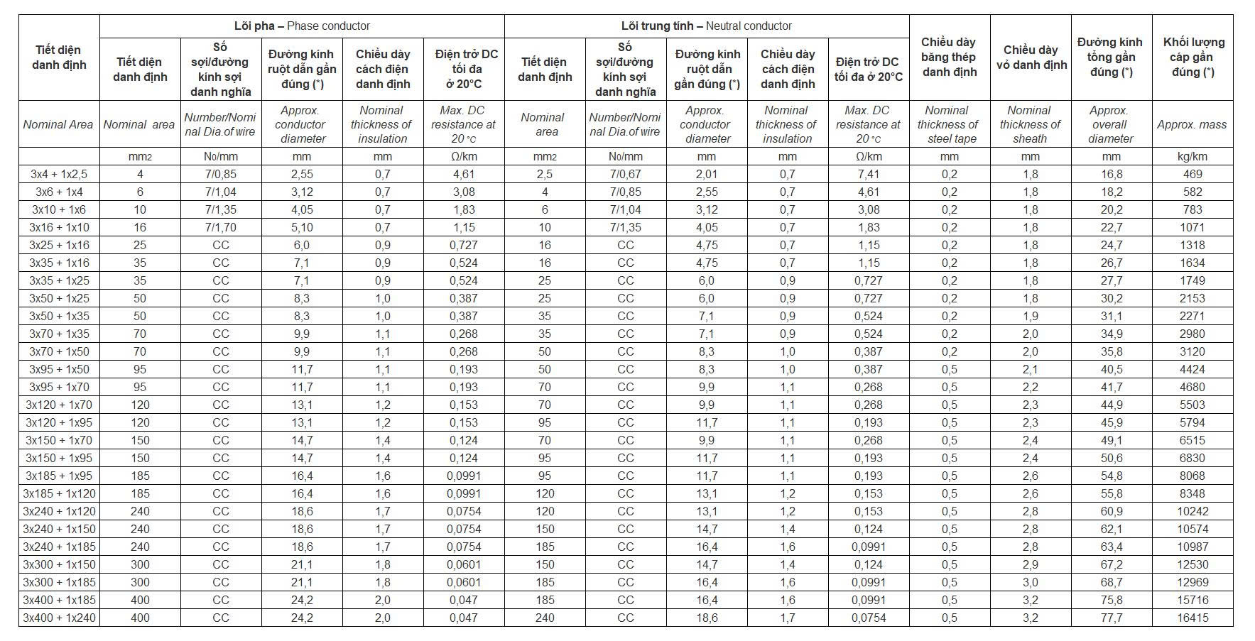
CÁP CXE/DSTA - 3 PHA + 1 TRUNG TÍNH

CC: Ruột dẫn tròn xoắn ép chặt.
(*): Giá trị tham khảo - Đây là giá trị ước tính đường kính, ước tính khối lượng sản phẩm nhằm phục vụ cho công tác thiết kế, vận chuyển, lưu kho sản phẩm. Không phải là chỉ tiêu đánh giá chất lượng sản phẩm.






